반갑습니다. 디데이치과 김무진 대표원장입니다.
저는 매일 아침마다 포털사이트 등을 통해 그 날의 주요 뉴스를 살펴보는 습관이 있는데요.
현직 치과의사로서 눈에 띄는 기사를 발견해 오늘 여러분께 공유해 드리고자 합니다.
바로 ‘결손치(치아상실)가 있을 경우 암 발생 위험이 증가한다’는 최신 연구결과인데요.
(기사 출처: https://www.yna.co.kr/view/AKR20230712130700518)
(전문보기: https://rdcu.be/dgIZ2)

‘치아가 빠진 거랑 암 발생이랑 무슨 상관이지?’ 라고 생각하는 분들이 많으실겁니다.
그래서 제가 관련 자료와 연구 결과를 살펴보고 어떻게 치아 결손이 암 발생 위험을 증가시키는지 차근히 설명드리도록 하겠습니다.
어제 저희 디데이치과의 오태훈 대표원장님께서 임플란트 후 잇몸관리에 관련한 글을 작성하시면서
작년 한 해 한국에서 1800만명의 환자가 치과에 내원해 잇몸치료를 받았다고 언급하셨는데요.
그만큼 한국인에게 잇몸질환은 매우 흔한 질병입니다.

가벼운 잇몸질환이라면 치과에서 치석제거 혹은 잇몸 안쪽에 있는 치석을 제거하는 치료를 받으시면 좋아집니다.
하지만 잇몸질환이 심각해지면 잇몸뼈가 녹아내려 치아를 지지하는 힘이 부족하기 때문에
치아가 흔들리고 더 심해지는 경우 치아가 빠지기도 합니다.
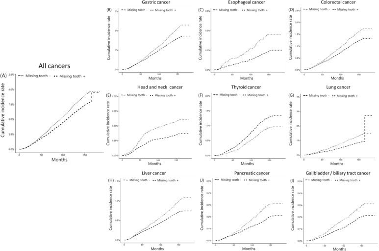
이렇게 악화된 잇몸 염증으로 인해 치아가 빠진 결손치 환자의 경우 결손치가 없는 환자분에 비해
암 발생 위험이 12% 더 높다는 것이 연구 결과 드러난 것인데요.

출처: BMC Oral Health (https://bmcoralhealth.biomedcentral.com/articles/10.1186/s12903-023-02997-x)
위암, 폐암, 간암, 결장직장암, 두경부암, 췌장암, 담도암 및 식도암의 위험이 증가하는 것으로 나타났습니다.
다만, 결손치가 아닌 치주염 환자의 경우에는 암 발생 위험에 큰 차이가 없는 것으로 나타났습니다.
연구진의 설명에 따르면, 치아가 결손되었다는 것은 구강 내 염증이 가장 악화한 상태로
암 발생 위험이 올라간 기관의 위치가 대부분 구강 내 세균이 직접 이동할 수 있는 위치라는 것입니다.
즉, 입 속에 있는 유해균들이 음식 섭취나 타액 등을 통해 각 기관에 직접 닿아 결과적으로 암 발병을 촉진시킨다는 뜻이죠.

결손치가 이렇게 암 발생 위험을 증가시킨다고 하니… 정말 엄청난 나비효과라고 할 수 있는데요.
그래서 저 역시 치과의사로서 지금 이 글을 보고 계시는 여러분께
평소 치아 건강 관리를 잘 해주셔야 한다는 것을 다시 한번 강조하고 싶습니다.
항상 말씀드리는 하루 3회 양치질, 치실과 치간칫솔 사용 이외에도
적어도 1년에 한번은 치과에서 스케일링 또는 필요시 잇몸치료를 하시는 것이 좋은데요.
스케일링과 잇몸치료에 대해 간단히 설명드리고 오늘 글 마치도록 하겠습니다.

쉽게 말씀드리면 스케일링은 잇몸 위에 쌓여있는 치석과 치태를 제거하는 것이고
잇몸치료는 잇몸 아래에 쌓여있는 치석과 치태를 제거하는 것이라고 생각해주시면 됩니다.

잇몸치료는 잇몸 안쪽으로 기구를 넣어 보이지 않는 치석을 긁어내는 것이기 때문에
마취가 필요할 수 있고 정도가 심한 경우 외과적인 수술까지 진행할 수도 있습니다.
다행히도 스케일링과 잇몸치료는 한국 건강보험 가입자라면 보험 적용을 통해 저렴한 비용으로 치료할 수 있는데요.
스케일링은 1년에 한 번, 약 2만원 안쪽으로, 잇몸치료는 어떤 치료를 진행하느냐에 따라 다르지만
2~5만원 정도의 비용이 발생해 큰 부담없이 치아와 잇몸 건강을 관리하실 수 있습니다.
결손치가 암 발생 확률을 높일 정도로 큰 나비효과를 불러온다는 결과를 확인하니
치과의사인 저도 앞으로 치아 건강 관리를 잘 해야겠다는 생각이 드는데요 ^^;;
지금 보고계신 분들도 겁내지 마시고 주변 치과 방문하셔서 꼭 검진과 함께 스케일링이나 잇몸치료를 받으셔서
치아와 잇몸 건강을 유지해 건강한 삶을 살 수 있기를 바라겠습니다.
앞으로도 이렇게 여러분께 치과 관련한 흥미로운 연구 결과나 기사들 소개해 드리도록 하겠습니다!
그럼 지금까지 디데이치과 김무진 대표원장이었습니다. 감사합니다.
< 잇몸치료에 대해 더 자세히 알고 싶다면? >
| 환자를 돌려보내는 치과가 있다?디데이치과 네이버 예약 ✔ |
| 서울 디데이치과 진료 문의 |
|---|
| 대표전화 : 02-568-2877 (바로가기)네이버 톡톡 문의 (바로 가기) |
▲ 모바일에서 전화 버튼을 누르시면 병원으로 연결됩니다 ▲

| 본 게시물은 의료광고법 제56조 1항을 준수하여, 의료 정보 제공 및 병원 홍보를 목적으로 디데이치과의원에서 직접 작성하였습니다.다만, 블로그에서 제공해 드리는 정보는 참조용으로만 활용하시고, 정확한 개인의 증상 파악은 의료기관에 직접 내방하시어 의료진을 통해 확인하실 것을 권유 드립니다.치과에서 진행되는 모든 시술 및 수술은 개인에 따라 부작용 (염증, 출혈, 부기, 신경 손상 등) 가능성이 있습니다. 따라서 사전에 의료진과 충분한 상담을 통해 결정하시길 바랍니다.게시물의 치료 사진은 실제 본원에서 모든 치료 과정을 마친 환자분의 동의하에 촬영되었습니다. 전후 사진은 동일인이며, 동일 조건하에 촬영되었음을 밝힙니다. |